TinToll Performance Materials Co., Ltd.
TinToll Performance Materials Co., Ltd.

La oxidación de los polímeros puede provocar muchos efectos indeseables, incluidos cambios de color, formación de morfología de la superficie rugosa, cambios en la viscosidad del fundido y reducción de las propiedades mecánicas, que puede afectar la vida útil del polímero o el producto final. La oxidación puede ocurrir en cada etapa del ciclo de vida del polímero, durante la producción y el almacenamiento de resinas de polímero, durante las operaciones de procesamiento de fusión a alta temperatura, durante el procesamiento de resinas en artículos, Y durante el uso de los artículos. Además, la exposición a los rayos UV de la luz solar también acelera el proceso de oxidación. La adición de antioxidantes fenólicos para polímeros puede inhibir y retrasar la oxidación y degradación de los materiales poliméricos.


Los antioxidantes se dividen generalmente en antioxidantes primarios y secundarios. Los antioxidantes primarios actúan eliminando los radicales libres peroxi formados durante la oxidación. Las dos clases principales de antioxidantes primarios son los antioxidantes fenoles Impedidos y las aminas aromáticas. Son efectivos en un amplio rango de temperatura, mejorando el procesamiento de materiales y la estabilidad térmica a largo plazo.


Los antioxidantes secundarios, como los fosfitos y los tioéteres, actúan a través de la descomposición de los hidroperóxidos. Los fosfitos son más efectivos a altas temperaturas de las operaciones de procesamiento de fusión, mientras que los tioéteres funcionan mejor en la fase sólida a temperaturas de uso a largo plazo.

TOTOLLos antioxidantes fenólicos impedidos tienen baja volatilidad, alta eficiencia, resistencia al desvanecimiento del aire y la hidrólisis, y se pueden implementar en una amplia gama de aplicaciones.


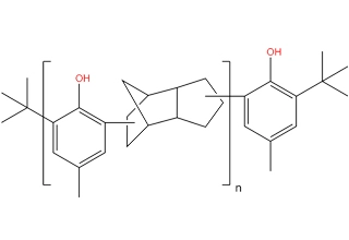
Tipos de fenol obstaculizado Antioxidante HPAO

Tipos de fenol obstaculizado Antioxidante HPAO

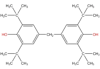
Antioxidante de fenol obstaculizado HPAO Detalles

Antioxidante de fenol obstaculizado HPAO Detalles

Los estabilizadores de fenol obstaculizados son los principalesAditivos antioxidantes para plásticosY actuar como donantes de hidrógeno. Reaccionan con radicales peroxi para formar hidroperóxidos y evitan la extracción de hidrógeno de la columna vertebral del polímero. Los estabilizadores fenólicos se usan a menudo en combinación con antioxidantes secundarios y vienen en una variedad de pesos moleculares, formas y funciones del producto. Son muy efectivos durante el procesamiento y el envejecimiento por calor a largo plazo, y muchos están aprobados por la FDA. EstosEstabilizadores de polímeroSon generalmente menos propensos a la tinción o decoloración. Sin embargo, pueden formar estructuras quinoides cuando se oxidan, lo que da como resultado un amarillamiento. PowerNoxTM Los antioxidantes fenólicos incluyen fenoles simples, bisfenoles, polifenoles y tiobisfenoles.


PowerNoxTM2640 (BHT) es el antioxidante primario más utilizado y está aprobado por la FDA para el contacto con alimentos y es adecuado como estabilizador a largo plazo en casi todos los casos. Sin embargo, el BHT es un material relativamente volátil que está siendo reemplazado gradualmente por antioxidantes de mayor peso molecular que resisten la migración.


Los tiobisfenoles también actúan como descomponedores de peróxido (antioxidantes secundarios), que a menudo se utilizan en aplicaciones de mayor temperatura.

¿Reqest una muestra? ¿Solicitar una cotización? ¿Pregunta técnica? ¿Encontrar un distribuidor?