TinToll Performance Materials Co., Ltd.
TinToll Performance Materials Co., Ltd.
4,4 '-isopropilidendifenol C12-15 alcohol Fosfito

PowerNox™1500

CAS No. 96152-48-6

4,4 '-isopropilidendifenol C12-15 alcohol Fosfito


PowerNox™1500 es un antioxidante de Fosfito líquido con baja volatilidad y excelente compatibilidad que se ha utilizado ampliamente en una variedad de polímeros. Exhibe una excelente estabilidad térmica y de color.

TY_QT3 CAS No. 96152-48-6
4,4 '-isopropilidendifenol C12-15 alcohol Fosfito

Datos técnicos de PowerNox™1500 CAS No. 96152-48-6

SinónimosBS-1500 Deox.

Número CAS

96152-48-6

Número EINECS

306-120-2

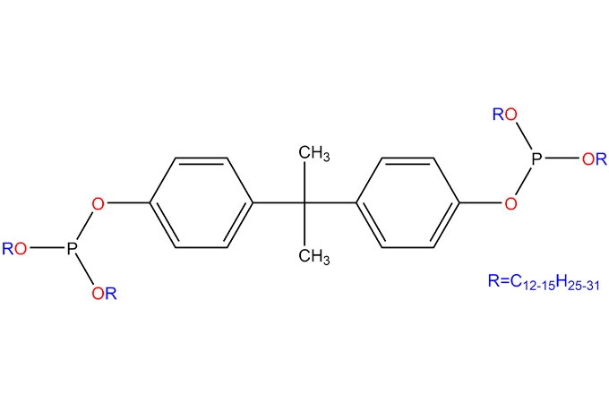
Estructura química

4,4' isopropylidenediphenol c12 15 alcohol phosphite

Fórmula química

C15H16O2

Peso molecular

228,29

Embalaje

PowerNox™1500 suministra en 180 tambor de acero Kg.

Nota

Toda la información del folleto se basa en nuestro conocimiento y experiencia actuales. Nos reservamos el derecho de realizar cualquier cambio de acuerdo con el progreso tecnológico o los desarrollos posteriores. Rendimiento delAntioxidante FosfitoDescrito en el presente documento debe verificarse mediante pruebas.


Desreclamamos específicamente cualquier otra garantía expresa o implícita de aptitud para un propósito o comerciabilidad particular.


Rechazamos la responsabilidad por cualquier daño incidental o consecuente.

Beneficios y aplicaciones de PowerNox™1500 CAS No. 96152-48-6

PowerNox™1500 utiliza para mejorar eficazmente el calor y la estabilidad de la luz de varios tipos de polímeros como PVC y ABS. Su rendimiento se verá muy mejorado si se usa en combinación con ciertos desactivadores de metales y estabilizadores epoxi.


PowerNox™1500 mejora el color y la estabilidad a la luz y la claridad de los copolímeros de PVC y cloruro de vinilo.


PowerNox™1500 puede utilizar junto con estabilizadores de metales primarios y estabilizadores epoxi.

Propiedades físicas de PowerNox™1500 CAS No. 96152-48-6

Apariencia

Líquido claro

Densidad [25 °C, g/ml]

0,96

Contenido de fósforo (%)

5,4

APHA

Máx.50

Valor ácido (MG KOH/g)

Máx.1.2

Volátiles (%)

Máx.0.5

Gravedad específica [25 °C/15,5 °C]

0.965-0.990

Índice de refracción [25 °C]

1,5040-1,5095

Viscosidad [25 °C, cPs]

1000

Solubilidad de PowerNox™1500 CAS No. 96152-48-6

Solubilidad [25 °C]

% P/W

Acetato de etilo

> 50

Etanol

> 50

Metil cetona

> 50

PEG (Mn = 400)

> 50

Agua

<1


¿Cómo podemos ayudarte?
¿Reqest una muestra? ¿Solicitar una cotización? ¿Pregunta técnica? ¿Encontrar un distribuidor?
Recomendación Antioxidante de Fosfito
4,4 '-isopropilidendifenol C12-15 alcohol Fosfito