TinToll Performance Materials Co., Ltd.
TinToll Performance Materials Co., Ltd.
Polímeros de 1,6-hexanodiamina, N,N'-bis(2,2, 6,6-tetrametil-4-piperidinilo)-, con morpholine-2,4,6-tricloro-1,3, 5-triazina

PowerStab™3529

CAS No. 193098.

Polímeros N,N'-Bis(2,2, 6,6-tetrametil-4-piperidinil)-1,6-hexanodiamina con morpholine-2, productos de reacción 4,6-tricloro-1,3, 5-triazina, metilados


PowerStab™3529 es un estabilizador de luz eficaz de baja volatilidad. Tiene una contribución de color mínima, así como reactividad selectiva.




TY_QT3 CAS No. 193098.
Polímeros de 1,6-hexanodiamina, N,N'-bis(2,2, 6,6-tetrametil-4-piperidinilo)-, con morpholine-2,4,6-tricloro-1,3, 5-triazina

Datos técnicos de PowerStab™3529 CAS n. ° 193098-40-7

SinónimosUV-3529 Cyasorb, UV-829.

Número CAS

193098-40-7

Número EINECS

N.A.

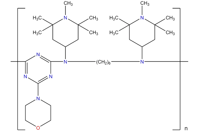
Estructura química

1,6 hexanediamine, n,n' bis 2,2,6,6 tetramethyl  4 piperidinyl polymers with morpholine 2,4,6 trichloro  1,3,5 triazine

Fórmula química

(C33H60N8O)N

Peso molecular

11700 ± 10%

Embalaje

PowerStab™3529 (CAS 193098-40-7) se suministra en un tambor de fibra de 25kg de peso neto con revestimiento de PE.

Nota

Toda la información del folleto se basa en nuestro conocimiento y experiencia actuales. Nos reservamos el derecho de realizar cualquier cambio de acuerdo con el progreso tecnológico o los desarrollos posteriores. El rendimiento del producto descrito en este documento debe verificarse mediante pruebas.


Desreclamamos específicamente cualquier otra garantía expresa o implícita de aptitud para un propósito o comerciabilidad particular.


Rechazamos la responsabilidad por cualquier daño incidental o consecuente.

Beneficios y aplicaciones de PowerStab™3529 CAS n. ° 193098-40-7

PowerStab™3529 tiene buena compatibilidad con otrosEstabilizadores HALSY UVA.


PowerStab™3529 es ampliamente utilizado en PE, PP, poliolefina, Películas Agrícolas y césped.

Propiedades físicas de PowerStab™3529 CAS n. ° 193098-40-7

Apariencia

Polvo blanquecino

Pérdida en el secado (%)

Máx.0.5

Volátiles (%)

Máx.0.5

Temperatura de transición vítrea (%)

88

Tolueno Insoluble (%)

Max.0.25


¿Cómo podemos ayudarte?
¿Reqest una muestra? ¿Solicitar una cotización? ¿Pregunta técnica? ¿Encontrar un distribuidor?
Recomendación Estabilizador de luz de amina obstaculizada
Polímeros de 1,6-hexanodiamina, N,N'-bis(2,2, 6,6-tetrametil-4-piperidinilo)-, con morpholine-2,4,6-tricloro-1,3, 5-triazina