TinToll Performance Materials Co., Ltd.
TinToll Performance Materials Co., Ltd.
Fosfito de fenilo de poli (dipropilenglicol)

PowerNox™DHOP

CAS No. 80584.

Polipropilenglicol fenil Fosfito


PowerNox™DHOP es un Fosfito polimérico líquido eficaz para muchos tipos de diversas aplicaciones de polímeros.


TY_QT3 CAS No. 80584.
Fosfito de fenilo de poli (dipropilenglicol)

Datos técnicos de PowerNox™DHOP CAS No. 80584.

SinónimosSongnox DHOP, 203 Everaox.

Número CAS

80584-86-7

Número EINECS

279-499-4

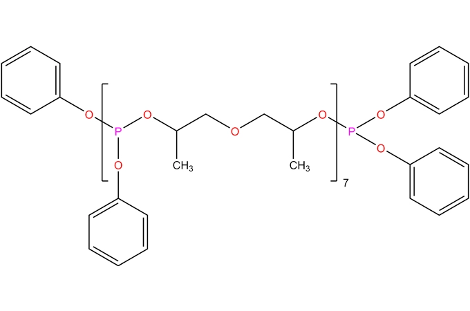
Estructura química

poly dipropyleneglycol phenyl phosphite

Fórmula química

C102H134O31P8

Peso molecular

2100

Embalaje

PowerNox™DHOP se suministra en tambor de acero de 205kg.

Nota

Toda la información del folleto se basa en nuestro conocimiento y experiencia actuales. Nos reservamos el derecho de realizar cualquier cambio de acuerdo con el progreso tecnológico o los desarrollos posteriores. Rendimiento delAntioxidante FosfitoDescrito en el presente documento debe verificarse mediante pruebas.


Desreclamamos específicamente cualquier otra garantía expresa o implícita de aptitud para un propósito o comerciabilidad particular.


Rechazamos la responsabilidad por cualquier daño incidental o consecuente.

Beneficios y aplicaciones de PowerNox™DHOP CAS No. 80584.

PowerNox™DHOP es un antioxidante secundario para polímeros orgánicos, adecuado para PVC, ABS, poliuretanos, Policarbonatos y recubrimientos para proporcionar una mejor estabilidad de color y calor durante el procesamiento y en la aplicación final.


PowerNox™DHOP se puede utilizar en aplicaciones de PVC rígido y flexible como estabilizador secundario y agente quelante para dar colores más brillantes y consistentes y mejorar la estabilidad al calor del PVC.


PowerNox™DHOP se puede utilizar en polímeros donde no se requiere la aprobación regulatoria para el contacto con alimentos.


Sus niveles de uso típicos van de 0,2 a 1.0% para la mayoría de las aplicaciones.

Propiedades físicas de PowerNox™DHOP CAS No. 80584.

Apariencia

Líquido claro

Color (APHA)

Máx. 50

Valor ácido (MG KOH/g)

0,1 máx.

Índice de refracción [25 °C]

1,5340-1,5380

Gravedad específica [25 °C]

1.168-1,18


¿Cómo podemos ayudarte?
¿Reqest una muestra? ¿Solicitar una cotización? ¿Pregunta técnica? ¿Encontrar un distribuidor?
Recomendación Antioxidante de Fosfito
Fosfito de fenilo de poli (dipropilenglicol)