TinToll Performance Materials Co., Ltd.
TinToll Performance Materials Co., Ltd.
Poli [[6-[(1,1, 3,3-tetrametilbutilo) amino]-1,3, 5-triazina-2, 4-diil][(2,2, 6,6-tetrametil4-piperidinil) imino]-1,6-hexanodiilo [(2,2, 6,6-tetrametil-4-piperidinilo) imino])

PowerStab™944

CAS No. 71878-19-8, 70624-18-9 (EE. UU.)

Poli [[6-[(1,1, 3,3-tetrametilbutilo) amino]-1,3, 5-triazina-2, 4-diil][(2,2, 6,6-tetrametil4-piperidinil) imino]-1,6-hexanodiilo [(2,2, 6,6-tetrametil-4-piperidinilo) imino])


Sinónimo:

1,6-hexanodiamina, N,N'-bis(2,2, 6,6-tetrametil 4-piperidinil-)-, polímero con 2,4, 6-tricloro-1, 3,5-triazina, productos de reacción con 2,4, 4-trimetil-2-pentanamina


PowerStab™944 es un estabilizador de luz de amina obstaculizado polimérico. Tiene un excelente rendimiento de estabilización de luz en poliolefinas (sección Delgada y gruesa), baja volatilidad y excelente resistencia a la migración.

TY_QT3 CAS No. 71878-19-8, 70624-18-9 (EE. UU.)
Poli [[6-[(1,1, 3,3-tetrametilbutilo) amino]-1,3, 5-triazina-2, 4-diil][(2,2, 6,6-tetrametil4-piperidinil) imino]-1,6-hexanodiilo [(2,2, 6,6-tetrametil-4-piperidinilo) imino])

Datos técnicos de PowerStab™944 CAS No. 71878-19-8, 70624-18-9 (EE. UU.)

SinónimosChimassorb 944 LD, Omnistab LS944, Songlight 9440, Sabanstab UV94, Lowilite 94, Eversorb 91, Chiguard 944LD, EVERSTAB LS 944, Chisorb 944.

Número CAS

71878-19-8 o 70624-18-9

Número EINECS

615-678-9 o 615-131-4

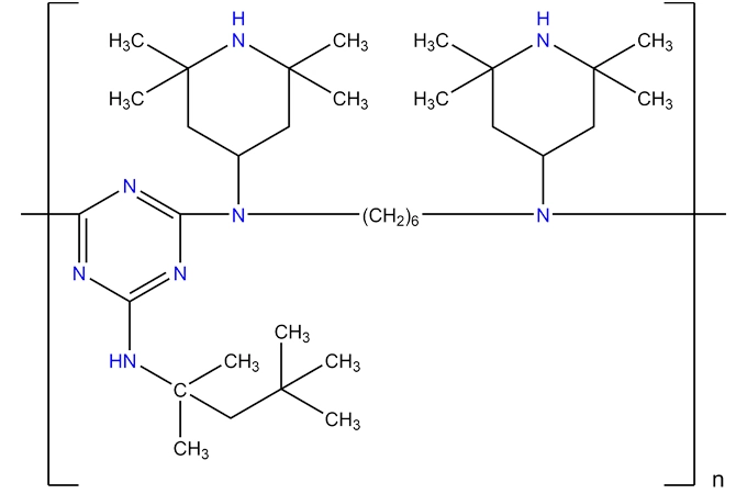
Estructura química

poly 6 1,1,3,3 tetramethylbutyl amino 1,3,5 triazine 2,4 diyl 2,2,6,6 tetramethyl4 piperidinyl imino 1,6 hexanediyl 2,2,6,6 tetramethyl 4 piperidinyl imino

Fórmula química

(C35H68N8)N

Embalaje

PowerStab™944 suministra en bolsa de PE de 25kg.

Nota

Toda la información del folleto se basa en nuestro conocimiento y experiencia actuales. Nos reservamos el derecho de realizar cualquier cambio de acuerdo con el progreso tecnológico o los desarrollos posteriores. El rendimiento del producto descrito en este documento debe verificarse mediante pruebas.


Desreclamamos específicamente cualquier otra garantía expresa o implícita de aptitud para un propósito o comerciabilidad particular.


Rechazamos la responsabilidad por cualquier daño incidental o consecuente.

Beneficios y aplicaciones de PowerStab™944 CAS No. 71878-19-8, 70624-18-9 (EE. UU.)

PowerStab™944 es un estabilizador de luz de amina impedida polimérico (HALS) que es eficaz en una amplia gama de polímeros y aplicaciones. ElEstabilizador UV HALSEs particularmente útil en aplicaciones de PE (moldeo por inyección, película y cinta), PP (moldeo por inyección, película y fibras), TPO, fibras de poliamida, PVC flexible y rígido, TPE estirenicos, poliuretanos y aplicaciones adhesivas especiales. También es adecuado para su uso en xileno XLDPE.

Propiedades físicas de PowerStab™944 CAS No. 71878-19-8, 70624-18-9 (EE. UU.)

Apariencia

Gránulo blanco a amarillo claro

Gravedad específica (20 °C)

1,01

Punto de fusión (°C)

100-135

Punto de inflamación (°C)

Min.150

Volátiles (%)

Max.1.0

Color DE LA SOLUCIÓN 425nm (%)

Min.95

Color DE LA SOLUCIÓN 450nm (%)

Min.96

Ceniza (%)

Max.0.1

Solubilidad de PowerStab™944 CAS No. 71878-19-8, 70624-18-9 (EE. UU.)

Solubilidad [20 °C]

% P/W

Acetona

> 50

Cloroformo

> 30

Etanol

<0,1

Acetato de etilo

> 50

N-hexano

41

Metanol

3

Cloruro de metileno

> 50

Tolueno

> 50

Agua

<0,01


¿Cómo podemos ayudarte?
¿Reqest una muestra? ¿Solicitar una cotización? ¿Pregunta técnica? ¿Encontrar un distribuidor?
Recomendación Estabilizador de luz de amina obstaculizada
Poli [[6-[(1,1, 3,3-tetrametilbutilo) amino]-1,3, 5-triazina-2, 4-diil][(2,2, 6,6-tetrametil4-piperidinil) imino]-1,6-hexanodiilo [(2,2, 6,6-tetrametil-4-piperidinilo) imino])